忍者ブログ

指導の手帖

家庭教師のバイトをしている大学生の、指導ノウハウや自身の学習体験などを綴るブログ

2026.05│ 1 2 3 4 5 6 7 8 9 10 11 12 13 14 15 16 17 18 19 20 21 22 23 24 25 26 27 28 29 30 31

[PR]

×

[PR]上記の広告は3ヶ月以上新規記事投稿のないブログに表示されています。新しい記事を書く事で広告が消えます。

2026/May
Saturday
12:23:41 Comment(-)
Trackback(-)

特殊に見えて、特殊でなかった

前回の記事から激しく間の空いた音恩です。果たしてこのブログをごらんの方がどの程度おられるのかとひやひやしながら、こうして記事書いてます。あわわ。

今日は問題演習じゃなくて、ちょっとした小話などしてみようかな、なんて。

家庭教師として教えている高3受験生のところでやっている単元が、力学なんですけれど。
そこで万有引力の問題ってのがあったんですね。で、ちょっと思い出しちゃった。
万有引力といえば、人工衛星が地球の周りを回る問題ってのが定番ではないでしょうか。ケプラーの法則とか、そういうのがいろいろ出てくるやつ。

あれ、結構マイナーですよね?>訊くな
いや、模試とかであんまり見かけた記憶がないものですから。演習量の多い問題ってのは、受験から2年経った今でも公式も解き方も覚えているものなんですけど、そうじゃない問題ってのはどんどん忘れていくんですねー。ああ、人間って悲しい。
その万有引力の問題を見ながら、「はあ、こんなものもあったなあ」なんて思ってみたり。

基本的なF=maの運動方程式に基づいた解き方ってのは変わらないんですが、あのケプラーの面積速度一定の法則とか、結局曖昧なままに高校時代を終えてしまった私がいますよ。要するに嫌いだったんだ。人工衛星の問題が(笑)

仕方ない、そのときの授業でも、かつて使っていた問題集を見ながら頑張ってみました。
それでいいのか家庭教師…でも、現役じゃないし、プロ講師じゃないんだから仕方ないよね、と自分に言い訳してみる。そうやって少しずつ、また思い出していくんだよ。

で、思い出したことメモメモ。

①万有引力の問題では、位置エネルギーを考える際、無限遠を基準にとる
②人工衛星が回る問題は、まさしく運動方程式で解ける(Fが万有引力になっている)
③楕円軌道を回る人工衛星の速さは、面積速度一定の法則と力学的エネルギー保存則を使う

ポイントはこのくらいでした。あと、やたら計算が面倒くさいってことと。でも計算が面倒なのはこれに限った話じゃないですからねー。

またそのうちに例題の解説とかやりたいですが、数式をもうちょっと楽に打ち込めないかどうか、今思案中です。。

そんなわけで久しぶりに見た万有引力の問題は、それほど嫌うような特殊な問題でもなかったです。
このブログ見てくださった方の中にも、もしかしたら「この問題は嫌いだっ」と思いながら、解いてみたら大したことなかった、なんて経験がありませんか?
PR
2007/Nov
Tuesday
13:12:30 Comment(0)
Trackback()

波のグラフには2種類ある

急遽、カテキョの担当生徒さんが「高校物理の波動が分からない」ということで波動を教えることになった音恩です。
とはいうものの、私が波動の問題を最後に解いたのは2年前…その間、すっかり公式も何もかも忘れてしまいました。そんな私が波動の授業なんかできるのかっ!というわけで、とりあえず予習。

今日も問題。クリックで拡大します。

h-ph0201.gif

よく見かける「グラフを読み取る」問題。波動としては定番ですね。
このグラフには2種類あります。どっちも似たような「波」の形をしてるんですけれど、ひとつは「波形」、ひとつは「単振動」のグラフです。
・・・はい、今ちょこっとだけ難しいことを言いました。高校時代、私はどうしてもこの2つのグラフの違いが分からなかったんです。でも今ここでそれを説明してると問題をやる暇がありませんから、とりあえず次にまわすとして…この問題で使用されているのがどっちかという話からはじめます。

(クリック拡大)

これは私の高校時代のノートの抜粋です。手書きなので図が少々汚いですが、大目に見てくださいませ。
この問題で使われているのは「波形」のグラフです。ナワトビのナワの片方を固定し、もう片方を上下に揺すると波ができますよね。大ナワトビじゃありませんから、回しちゃだめよ。で、ナワを揺すってる調度その瞬間をバチっと写真にとるとどんな風に写るか。そりゃ勿論、ナワはナミナミの形になってると思います。それが、波形なんです。波のカタチ。文字通りですね。

波の要素ってのがいくつかありまして、波形のグラフから読み取れるのは「振幅」と「波長」です。
波長は波の山から山、もしくは谷から谷のキョリということはご存知でしょうか?振幅は、山の高さあるいは谷の深さですね。山と谷の高低差じゃありませんから注意しましょう。


では、問題に移ります。

(1)振幅、波長、周期、速さ
振幅と波長は一瞬で読み取ってください。振幅は2cm、波長は20cmですよ。
次に周期を求めます。これは公式があるので、普通に代入します。
周期と振動数は逆数の関係でしたね。今は、振動数が分かっています。2.5Hzです。
じゃあ周期は

周期=(振動数)-1=1/2.5=0.4s

ですね。
普通のHTMLエディタで分数を書くのはなかなか大変です。指数とかスラッシュとかを駆使して1行に収めてますので、見づらかったらごめんなさい。複雑な式はなるたけきちんとした分数の形で書こうと思いますが、簡単な式までそんなことする時間はないんだ・・・。

今度は速さです。
波の速さの公式はものすご~く重要です。これを覚えていない人は、まず覚えること。簡単だけど、便利な公式です。

v=fλ

見覚えあるでしょう?
この公式に代入するだけでいいんです。fは振動数、λは波長ですからそのまま。

速さ=2.5×20=50cm/s

単位に注意してね。波長が「cm」だから速さも「cm/s」ですが、「m」だったり「nm」だったりしたら速さの単位も変わりますよ。でも振動数は「1秒間」にゆれる数ですから、時間は「s」でいいんですよ。




(2)B点での速度
媒質はそれぞれの点で単振動を行います。
媒質、というのは揺れているモノのことです。水面に石をぶちこんで波ができたのなら、媒質は水。ナワトビのナワを揺すっているのなら、媒質はナワです。
注意したいのは、波は移動していきますが、媒質は移動しないことです。
運動会や何かでウェーブってのを作ったことはありませんか?隣の人が立ち上がったら自分も立ち上がるっていう、アレです。
ウェーブを遠くから見ると波が移っていくように見えますが、実際、ウェーブを作ってる人ってのはその場で立ったり座ったりしてるだけですよね。隣に移動しませんよね。そういうことです。

単振動を思い出してください。
「変位が最大になる点での速さはゼロ」と教わりませんでしたか?

運動の速度の向きが変わる瞬間というのは、速度はゼロになっています。当然です。歩いてきてUターンするとき、一瞬立ち止まりませんか?え、回れ右みたいにくるっと回る?でもくるっと回ってる瞬間ってのは、その場で回ってるかもしれませんが、2次元の運動として見ればその位置から動いてませんよね。速度の向きが変わる瞬間、一度物体はとまってしまう。これは覚えておきましょう。

単振動で、速度の向きが変わるのは変位が最大の点です。変位ってのは、基準の点からどのくらい動いたかです。バネを例にとるなら、みょ〜んと伸びたバネは伸びきったところで一旦止まり、それから逆方向に縮んでいく。伸びきった点で、変位が最大になっている。運動の向きも変わる。そういうことです。

話を波に戻します。波の媒質というのは、その点、つまりA点ならA点で、B点ならB点において単振動を行っています。B点の変位を見てみると、最大になっていることが分かりますね。ということは・・・

今まで長々と語って参りましたが、結局B点での速度はゼロだってことが言いたかったんです。
え、拍子抜けした?



(3)媒質の速度と加速度がyの正の向きに最大の点
これも単振動の基礎知識があれば簡単に解けてしまう問題です。
まず、さっきの説明にもありましたように変位が最大の点の速度はゼロです。じゃあ速度が最大の点ってのはどうなる?

・・・変位が最小です。これは、運動エネルギーと位置エネルギーの兼ね合いの問題です。力学的エネルギー保存の法則ってのを聞いたことがあるでしょう?詳しくは、単振動の解説記事でとりあげるので、とりあえず言葉だけ知っておいてね。

じゃあ媒質の「速さ」が最大の点ってのは、x=0、10、20の点だと分かりますね。だって変位がゼロだもんね。この中で「速度」がプラスの向きに最大の点はどうやって調べようか。
ここで「波のグラフの問題」の解き方のワザを使います。

波をほんのちょこっとだけずらすのです。

赤い線がずらした後の波です。
青い矢印は、x座標において波が正と負のどちらにずれているかを示しています。
例えばx=0では、ずらした後の線は、最初の黒い線の上に来ていますね。ですから、ここの矢印は上向きなのです。逆にx=15では、黒い線の下に赤い線があります。ですから矢印は下向きです。
この矢印は自分で打てるようになりましょう。

速度が「正の向き」ということは、この青い矢印が正の方向に向いていればいいんです。
x=0、10、20の点のうち、矢印が上向きなのは0と20ですから、これが答えになります。

速度が正の向きに最大・・・x=0、20

では加速度が最大の点はどこでしょうか。
自転車をイメージしてください。
走り出すときと、走っている状態を続けるとき、どっちが楽でしょうか?
それは勿論、走り続けるほうが楽ですね。走り出すときには、それなりの「パワー」でペダルを踏まなきゃならない。
ということは、走り出すときのほうが力が必要、ということなんです。
加速度を生み出すのは力です。
つまり、止まっているものを動かすときの方が、動いているものを動かすときより加速度が大きいのです。
勿論、動いているものを止めるときも力は必要ですけどね。

それを踏まえてみてやると、加速度が最大の点というのは、運動していない、つまり変位が最大の点ですね。
x=5、15において、加速度は最大です。x=25でも最大ですが、この問題では「0cmから20cm」と言っているので無視してしまいましょう。
そのうち青い矢印が上を向いているのは・・・x=5ですね。

加速度が正の向きに最大・・・x=5



(4)0.1秒後の波形を書け
「媒質は移動しない」と先ほど言いましたが、波は移動します。
つまり0.1秒経ったときに、この波が右にどのくらい移動しているのかを書けばいいんです。

(1)で波の周期は0.4cmだと出しましたね。周期というのは、波が1波長分進むのに何秒かかるか、です。つまり波は0.4秒で1波長分=20cm進みます。
じゃあ0.1秒だったら・・・?
1/4波長、つまり5cm進みますね。

それを図に描きます。
原点Oのところにあった波の“端っこ”を、x=5cmのところに移動します。
すると0~5cmの間には何もなくなってしまいますから、そこには波の続きを描き加えておきましょう。
答えは
.gif
赤い線のようになります。グレーのグラフは、もともとの波です。




(5)t=0としたときの点Aにおける媒質の変位と時刻の関係
要するにA点における単振動のグラフを描け、といっています。
あらら、最初に「単振動のグラフの話は後回しにする」って言いましたが、その話がわからないと解けませんね。

さらっと説明しておきます。
問題に出ているグラフは「波形」です。
波っていうのは常に動いています。動画で見るとすご~くわかりやすいのですが、残念ながら動画は試験問題に印刷できません。
だから、時間か媒質の位置のどちらかの要素を切り捨てて、静止画を作らなきゃなりません。

時間の要素を捨てると、波形のグラフができます。
さっきも言いましたように、波形のグラフは動いている波の写真を撮ったものです。ですから、この波がどのくらいの周期をもっているのかはわかりません。もしかしたらものすごく速いのかもしれないし、ものすごく遅いのかもしれない。(1)で求めた周期は、問題文中に書いてあった「振動数2.5Hz」という数値を使いましたね。わざわざそれを問題文に書いたのは、それを書かなきゃ周期がグラフからは読み取れないからなんです。

では波がどんな速さで動いているのかをグラフにしたい!
速い波ほど山の数が大きくなる、そんなグラフはないものか!
それを表すのが単振動のグラフです。今度は運動している媒質1点に注目します。
言ってみれば、ウェーブを作っている個人に注目しているようなもんです。
このグラフだと波の周期はよく分かります。1波長分進むのに何秒かかるか。その代わり、その波がどんな波長をもっているのかが分かりません。

それぞれの表し方をあわせてみてやると、波の周期も波長も分かるわけですね。

では、いよいよグラフを描いてみましょう。
まず、(4)で0.1秒後の波形を書きました。
今から書こうとしているのはA点に注目したグラフですから、波形のなかでもA点だけ見てくれればよろしい。
A点、つまりx=10の点では変位がマイナスの方向に最大です。振幅は2cmですから、変位は-2cmですね。

では、0.2秒後の波形グラフを、(4)と同じ要領で描いてみましょう。
0.1秒後から、さらに5cm進んだわけですね。


次は、0.3秒後の波形です。

このくらいでいいかな。
せっかく波形を描きましたが、見るのはx=10のところだけですよ。
t=0.2・・・・・x=10においてy=0
t=0.3・・・・・x=10においてy=+2

t: 0→0.1→0.2→0.3
y: 0→-2→0→+2


縦軸にy、横軸にtをとって、この点をプロットし、なめらかな線でつなぐと

こんなグラフができました。
これが、yとtの関係です。


今回は単振動や波のグラフの基礎知識の解説を行わずにいきなり問題演習に入ったので、ちょっと難しかったかもしれません。
富山大の入試問題の類題ですしね。
でも、こういった問題が解けるようになれば、なかなか強みになると思います。

そして思うのですが・・・
復習は大切ですよ!
2年でこの系統の問題の解き方をきれいさっぱり忘れていた自分がいました。
ちなみにこの解説は、高校時代私が使っていた演習ノートに、多少の説明を加えて作成しました。

それから後半の解説で使った、なかなか“滑らかな”グラフですが・・・・
「イラストレーター」というソフトで描きました。慣れないソフトなのでやたらと難しかったですが、これを機にイラレの使い方も覚えていきたいなあ、なんて思っています(^^)

2007/Oct
Friday
15:19:11 Comment(0)
Trackback()

猿が手を離すという前提だけど・・・

こんばんは、音恩です。なんかご挨拶だけ書いてそのままほっぽらかしてしまいましたが、いよいよ私の指導記録やネタをメモしていきます。記録とはいっても、生徒さんのプライヴェートな話は一切いたしませんので、ご安心くださいな。

イキナリですが、高校物理です。
まずは問題をどうぞ。


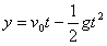
天井につるされた球Aに向けて、球Bを初速度v0で原点Oから発射する。これと同時にAをつるしていた糸を切る。その後のA、Bの運動について答えよ(重力加速度をgとする)
(1)打ち出された球Bが、Aの落ちる軌道を横切るまでの時間tを求めよ
(2)この時刻の球Aのy座標を求めよ
(3)この時刻の球Bのy座標を求めよ
(4)この衝突が、球Bを打ち出した点Oより上方で起こるためのv0の満たす条件を求めよ


【音恩メモ】

高校生の方なら1度は見かける問題ですね。モンキーハンティングと名前がついています。
Aが木の上の猿、Bが猟師で、猟師が猿に向けて鉄砲を撃ちます。すると、その銃声に驚いた猿が手を離して落ちてくる…このとき何が起こるか、というのを簡略化した問題です。

それじゃあ、とりあえず順番に解いていこうか。一応、解説は青字で行います。

(1)球Bが球Aの落ちる軌道を横切るまでの時間t

はい、この問題をよ~く読んでみますと…球Aについて訊かれていないことが分かります。
球Aの落ちる軌道、というのは図から lcosα ですね。これが分からない人は三角比を復習しよう。
で、球Aを無視した図を描くと、こうなります

球Bは初速度vで斜方投射です。つまり、これはただの斜方投射の問題として解いてやればいいんだ。
斜方投射の問題は、斜め方向の速度をタテ成分とヨコ成分に分解して解く、というのが鉄則です。
つまり初速度vのヨコ方向成分はcosαになります。
そして、斜方投射の問題でのヨコ成分の速度には、加速度がありません。空気抵抗なんてものは小さいので、普通は無視します。無視できない空気抵抗だったら、ちゃんと問題に明記してあります。
ということで、これは何運動ですか?…等速直線運動ですね。

ということはですよ。
キョリ=lcosα、速度=vcosα
なわけだから、時間tなんてものはすぐに求められるんだ。公式は大丈夫でしょうか?

時間=キョリ÷速度

ですよ。小学校で習う、例の公式です。ハジキです。
というわけで代入してみよう。

.....Ans.

ですね。なかなかサクっといけますね?


(2)この時刻の球Aのy座標

(1)で、時刻tが求められました。
今度は球Aに注目です。球Aは、球Bが発射されたと同時に自由落下を始めます。
じゃあそのときの高さは?…はい、図から lsinα と求められますね。これも三角比です。
つまり、球Aはlsinαの高さから自由落下なんです。

自由落下の公式は確認できましたか?加速度gの等加速度運動、ただしこの問題では、上向きが正ですよ。
運動の問題ってのは、どっちが正の向きかを考えるのがものすご~く大切です。注意しましょう。

というわけで、ここで使う公式は…

ですね。ただし、自由落下である球Aは、初速度を持っていませんので、v0t=0 になります。
しかし!よくよく考えてみると、yってのは変位を表します。つまり球Aがどれだけ落ちたかを表すのであって、球Aの位置を教えてくれるわけじゃありません。
ですから、これはまだ答えじゃない。
球Aの位置は、 lsinα から、球Aの落ちたキョリ y を引いたものです。
というわけで式に代入してみると…
......Ans.
こうなりますね。tは(1)で求めた値をそのまま放り込んだだけです。

(3)この時刻の球Bのy座標

今度は球Bです。球Bのy座標、ということですから、タテ方向に注目します。
球Bは斜方投射だから…なんてことは考えないほうが無難です。
いま、訊かれているのはタテ方向だけなんだから、球Bのタテ方向の運動についてのみ見てあげましょう。

球Bは、タテ方向だけ見てやると鉛直投げ上げ運動をすることがわかります。重力加速度gは、常に下向きにかかります。

初速度はv0sinαですね。いいですか?ナナメ方向にv0の初速度を、タテとヨコの成分に分解するんだよ。
ということは公式は同じく

ですね。

ここに代入して、
....Ans.
となります。ここまで、一気に計算しちゃいましたが、ついてこられましたか?

ここでもう一度(2)と(3)の答えを比べてみると…あら不思議!値が全く同じになっていますね。
つまり、Bと同時にAを自由落下させると、2つの球は絶対に衝突するんです。あくまで理論上、しかも二次元の話ですけど。

(4)球Bを打ち出した点Oより上方で衝突するためのv0の条件

こういう問題は、大抵(1)~(3)がヒントになっています。
今回は(2)(3)で、衝突の起こる位置を求めました。両方とも値が同じだから、どっちを使ったって同じ話です。
衝突の起こるところのy座標が、正になればいいんです。
つまり、(2)(もしくは3)の答えが、正になるときのv0を求めればいいんです。

というわけで、不等式を解いてみよう。
.....Ans
不等式の解き方はいいですね?これも知らない人は数学を復習してください。

はい、これで問題はおわりです。
いかがでしたか?



以上が私の授業メモです。お楽しみいただけましたでしょうか?
勉強なんだから楽しいもクソもあるかっ!とおっしゃる方もおられるかもしれませんが、楽しくないものほど楽しく考えなきゃやってられません。

はい、モンキーハンティング、銃声に驚いて手を離したばっかりに猿は弾丸に当たってしまうというなんとも哀れなお話ですが、現実はそんなに甘くありません。
空気抵抗や、猿と弾丸の大きさなんかを、この問題では無視していますし、実際3次元ですから猿をぴたっと狙うのは難しそうです。ハンターの腕が下手糞じゃお話になりません。

それ以前に、猿は狩猟鳥獣に指定されてはいませんのでハンティングしちゃいけません。
でも「有害鳥獣駆除」だでしたら問題ないんだ。つまり、猿に農作物を荒らされた人が、農作物を守るために猿を撃つのは構わないんです…多分。
じゃあこれはモンキーハンティングじゃなくて、モンキーエクスターミネイティング【猿の駆除】じゃないか!

…なんてバカな話はこのくらいにしておきます。
あっ、い、石を投げないでっっ!
2007/Oct
Friday
23:01:40 Comment(0)
Trackback()
カレンダー
04 2026/05 06
S M T W T F S
1 2
3 4 5 6 7 8 9
10 11 12 13 14 15 16
17 18 19 20 21 22 23
24 25 26 27 28 29 30
31
プロフィール
HN:
上月 音恩
性別:
女性
職業:
学生
自己紹介:
カテキョのバイトを行う大学生。実は元・落ちこぼれ。指導モットーは『教わる気があるなら教えてやる』
傲慢と思われるかもしれませんが、ヤル気のないヤツに教える気はないのですw
フリーエリア
最新TB
最新CM
バーコード
ブログ内検索